Limit State Function#

In reliability analysis we are typically concerned with the probability that a component or system does not perform its purpose adequately. When this happens we typically speak of failure events. Failure events in turn are described through mathematical relations in order to be properly described. A function that describes failure events is called a limit state function.

Let \(E_f = \{\, \textbf{x} \in \textbf{X} : g(\textbf{x}) \leq 0 \}\) denote the failure set. Then \(g\) is the limit state function. As usual, \(\textbf{x}\) are samples or realizations of the random vector \(\textbf{X}\). The probability of interest is thus, \(P_f = P(E_f) = P\left(g(x) \leq 0\right)\) or \(P_f = \int_{E_f} f_\textbf{X}(\textbf{x})\,\mathrm{d}\textbf{x}\).

There are several ways to compute \(P_f\). In some basic cases one may use simple properties of the random variables of interest. In particular, for normal distributions and a linear limit state function, the calculation of the failure probability is very straightforward.

Linear Limit State Function and Normal Distributions#

Consider the random vector \(\textbf{X}=(X_1,\ldots,X_n)\) where all \(X_i\) follow a normal distribution. Consider a linear limit state function given by:

\[ g(\textbf{x}) = a_0+\sum_{i=1}^n a_ix_i \]

One can show that sums of Normally distributed random variables are also normal with expected value and variance given by:

\[ \mu_g = a_0+\sum_{i=1}^n a_i\mu_i \]
\[ \sigma^2_g = \sum_{i=1}^n a_i^2 \sigma_i^2 +2\sum_{i < j} a_ia_j \mathrm{Cov}(X_i,X_j) \]

or in terms of correlation coefficients, using the definition of Pearson’s correlation coefficient:

\[ \sigma^2_g = \sum_{i=1}^n a_i^2 \sigma_i^2 +2\sum_{i < j} a_ia_j \rho_{i,j}\sigma_i \sigma_j \]

In this case the probability of failure \(P_{E_f} = P\left(g(\textbf{x})\leq0\right)\) may be computed by standardizing the Normal distribution corresponding to \(g\). That is:

\[ P_{E_f} = P\left(g(\textbf{x})\leq0\right)=\Phi\left(\frac{0-\mu_g}{\sigma_g}\right) = \Phi(-\beta) \]

where \(\beta=\frac{\mu_g}{\sigma_g}\) is sometimes called the reliability index.

Example#

Consider a steel rod. The rod will fail if the stress applied in the cross sectional area (\(a=10\)mm\(^2\)) exceeds the yield strength (the resistance). The yield strength \(r\) and the annual stress are uncertain. For simplicity they are assumed to follow independent normal distributions \(R\) for resistance and \(S\) for solicitation (or load). The parameters of the normal distributions are \(\mu_R = 350 \, \rm{MPa}\), \(\sigma_R=35 \, \rm{MPa}\), \(\mu_S = 1500 \, \rm{N}\) and \(\sigma_S=300 \, \rm{N}\). The limit state function is:

\[ g(r,s) = ar-s \]

to compute the failure region take \( g(r,s) = 0 \Rightarrow ar = s\). Compute the mean and standard deviation of the normal distribution corresponding to \(g\).

The mean is given by: \(\mu_g = 10 (350) - 1500 = 2000 \, \rm{N}\)

For the standard deviation notice first that the variables are uncorrelated, hence only the terms with the variances remain: \(\sigma_g=\sqrt{10^2(35^2)+300^2} \, \rm{N} \approx460.98 \, \rm{N}\)

The relibility index \(\beta=\frac{2000}{460.98}\approx4.34\)

Hence the probability of failure \(P_{E_f}=\Phi(-4.34)\approx7.12\times10^{-6}\) in a cross sectional area. The graphical representation is presented in the Figure below.

https://github.com/TUDelft-MUDE/source-files/raw/main/file/failure_region_RS.jpg

Fig. 8.6 Graphical representation of the linear limit state and normal variables for the calculation of the reliability of a steel rod.#

Figure below shows the variables transformed to standard normal space. Notice that \(\beta\) is an orthogonal vector to the limit state in the standard normal space. The point in \(g\) with the smallest distance to the origin in standard normal space is sometimes called the design point.

https://github.com/TUDelft-MUDE/source-files/raw/main/file/failure_region_Zspace.jpg

Fig. 8.7 Graphical representation of the linear limit state and normal variables transformed to standard normal space with orthogonal vector and design point for the calculation of the reliability of a steel rod.#

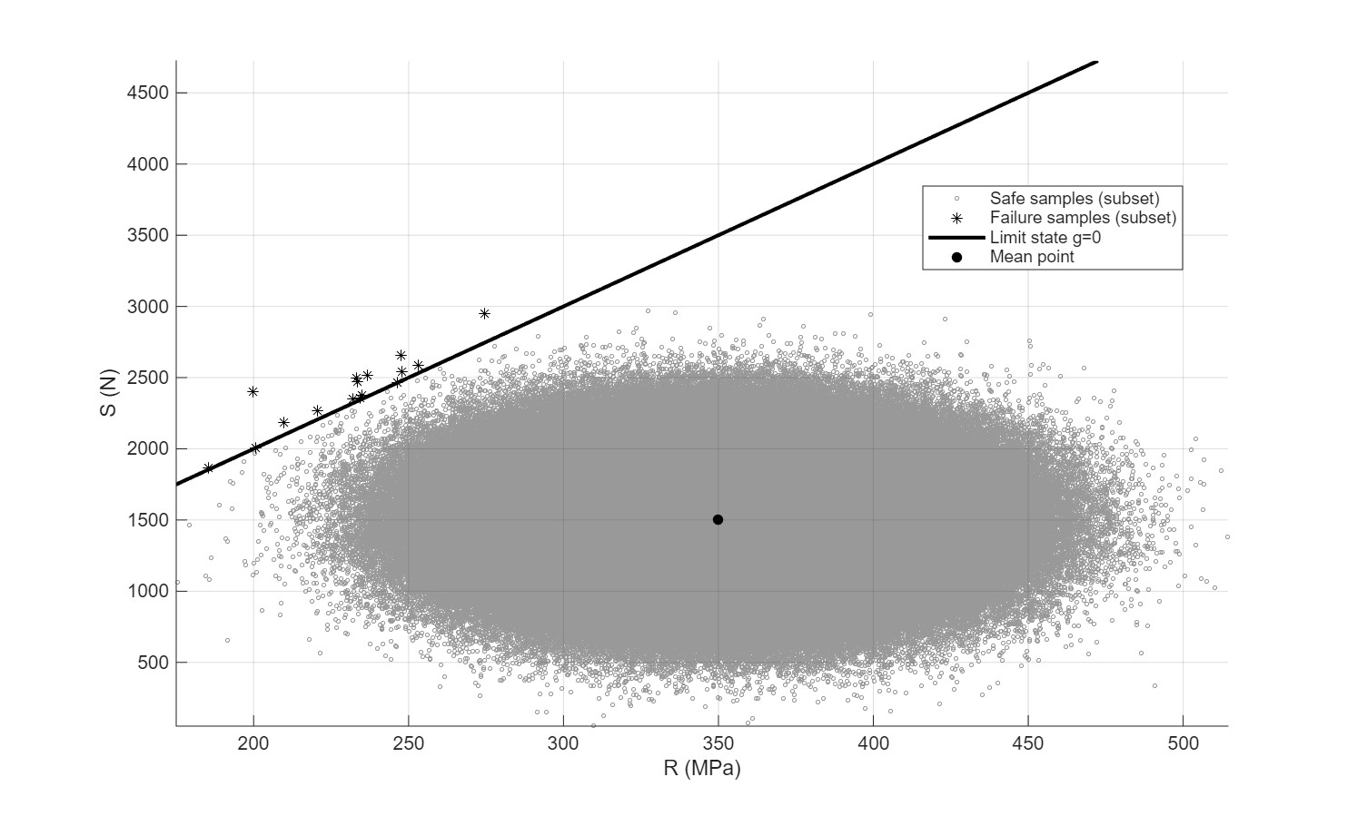
Figure below shows the calculation of the failure probability through Monte Carlo simulation. In this case \(\hat{P}_{E_f} = \frac{16}{2\times10^6}=8\times10^{-6}\)

https://github.com/TUDelft-MUDE/source-files/raw/main/file/MC_original_space_RS.jpg

Fig. 8.8 Graphical representation of the Monte Carlo simulation performed for the calculation of the reliability of a steel rod.#

Attribution

This chapter is written by Patricia Mares Nasarre, Max Ramgraber and Oswaldo Morales Napoles. Find out more here.